酚醛树脂是一种高分子化工产品,又称电木,一般指由苯酚等一系列酚类化合物和甲醛等醛类化合物为原料制备的树脂。由于树脂中残留酚类导致原本为黄色透明的树脂呈现微红色。1872年德国人A.拜耳在研究工作中发现此物,但未进一步研究其实用价值。1907年美籍比利时人L.H.贝克兰制出酚醛树脂制品,使它成为世界上第1个合成树脂。1910年在德国柏林附近建成世界第1座生产工厂。此后,生产发展很快。至今仍然是合成树脂中较重要品种。美国酚醛树脂还在呈增长趋势,1981年为95万t,1989年达到148万t,1997年169.4万t。中国于20世纪40年代开始生产,但发展很慢,1948年底还不到200t,直到1949年以后,才迅速发展起来,1952年为2000t,1983年为6万t,1997年为8.6万t。主要的酚醛树脂是苯酚和甲醛的缩聚物(如酚醛电木);不过,其中的酚有时由取代物代替(如甲酚、二甲苯酚、丁基苯酚或间苯二酚),而甲醛则由诸如糖醛等代替。酚醛树脂的用途广泛,主要用于电气绝缘(占总耗量50%左右)。还用于胶合板和纤维板(在美国,占总耗量40%)和层压制品(在日本,占总耗量20%以上)。经过改性的新型酚醛树脂还可用于制取工程塑料,用于半导体、原子反应堆的零部件;加入各种填加剂和填充剂可以改进模制件的物理特性。也可以作为粘结剂及表面涂料等。近几年将酚醛树脂加工为复合材料更满足了更多使用要求,具有重要的研究价值。
酚醛泡沫是一种以酚醛树脂为原料与助剂(如表面活性剂,匀泡剂等)通过均匀混合后在模具内进行发泡固化制备的一种常用于保温,隔音,阻燃等性能的泡沫材料。分权泡沫材料具有热传导性低,耐火性能良好,热稳定性高,成本低廉等特点,近年来主要从增加韧性,提高机械强度和降低酸度等方面得到了迅猛的发展。
【分类】[3][4]
酚与醛经缩合而成的树脂的统称,以苯酚和甲醛树脂最为重要。分为热塑性和热固性酚醛树脂两类。合成酚醛树脂常用的原料有苯酚、甲酚、间苯二酚、间甲酚、对叔丁基酚和甲醛、糠醛等。热塑性酚醛树脂是在酸性催化剂(如盐酸、草酸、磷酸)、酚过量(酚与醛摩尔比为
6/5或7/6)的条件下,经缩聚制得;
热固性酚醛树脂是醛过量(醛与酚摩尔比为7/6),在碱性(如氢氧化钠、氢氧化钡、氨水)催化剂中缩聚而成。具体如下:

【特性】[3][4]
常见酚醛树脂性能:

与其他热固性树脂相比,酚醛树脂的优点: ①固化时不需要加入催化剂、促进剂,只需加热、加压。② 固化后密度比聚酯树脂小,机械强度、耐化学腐蚀及耐湿性良好。③热强度高,变形倾向小。
缺点是:脆性大,颜色深,固化速度慢,贮存期短,加工成型压力高。
【生产工艺】[3]
1. 热塑类酚醛树脂
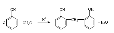
在pH 值为 1.8~2.4 之间的酸性催化条件下,苯酚和甲醛的缩聚反应的速度比加成反应约快 5 倍以上,其反应过程为,苯酚在酸催化剂的作用下其邻、对位易与甲醛发生亲电反应生成羟甲基苯酚,生成的羟甲基苯酚再与苯酚进行缩反应生成二酚基甲烷,反应过程如反应式:

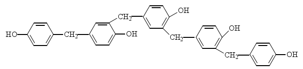
反应过程中生成的二酚基甲烷与甲醛的反应速度和苯酚与甲醛的反应速度一致导致缩聚产物分子链的增长。所得酚醛树脂分子链中酚环约 5 个,数均相对分子质量为 500 左右。其理想化的热塑性酚醛树脂结构如下所示:

2. 热固性酚醛树脂
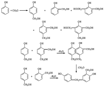
与热塑类酚醛树脂的制备不同的是,热固类酚醛树脂常在 p H 值为 8~11 之间的碱性催化剂(NaOH、NH4OH、Ba(OH)2、Ca(OH)2, MgO、Na2CO3)作用下进行。总的反应过程可分为两步:甲醛与苯酚的加成反应;羟甲基化合物的缩聚反应。其反应过程为:在碱性催化剂作用下,苯酚上的邻位活性点和对位活性点这三个活性点可以分别与甲醛发生加成反应,形成一元酚醇和多元酚醇的合物:羟甲基苯酚、二羟甲基苯酚、三羟甲基苯酚,如图所示。这些羟甲基苯在室温下是稳定的。在通常反应过程中,如碱性条件下,当温度为60℃左右,pH值为
9 时反应体系中的加成反应远远大于缩聚反应的发生,其加成反应发生量至少为缩聚反应的 5
倍,这个过程会持续到约一半的原料甲醛反应消耗完成。当反应温度高于60℃时,反应体系中单羟甲基苯酚、双羟甲基苯酚、三羟甲基苯酚、游离酚和甲醛之间会发生缩聚反应且反应较复杂。与此同时反应体系会有加成反应和缩聚反应共同发生。在反应体系中存在的一元或多元酚醇和二聚体等一直不间断的进行缩聚反应导致树脂相对分子量不断增大,不控制该反应的发生情况则会导致树脂凝胶。反应过程如图:

3. 其它工艺
1)淀粉酚醛树脂合成工艺:以淀粉和苯酚为原料,硫酸为催化剂,150℃左右淀粉水解成葡萄糖,升高温度到 160℃,水解生成的葡萄糖分子内脱水生成羟甲基糠醛,与苯酚反应得到酚醛树脂。具有线性结构的热塑型酚醛树脂。
2)木质素酚醛树脂合成工艺
木质素是一种广泛存在于植物中的芳香性高聚物,其分子结构中含有大量多种官能团如酚羟基,醇羟基,芳香基和醛基等,酚化后的木质素作为制备木质素酚醛树脂的原料。其制备工艺如下:取一定量木质素与苯酚,硫酸催化,升到125℃后反应一段时间,降温至
90℃调节体系 pH 值在 8~10 之间,加入一定量甲醛,同温度下反应一段时间后制得木质素酚醛树脂。
【应用】[3][4]
正是由于其具有耐高温、耐冲击、耐化学性、低烟低毒低成本的特点使得酚醛树脂快速发展,现在已经可与热塑性塑料相竞争,如酚醛组件在汽车燃油系统正在取代聚苯硫醚和聚酰胺和其他热塑性塑料。而酚醛纤维增强复合材料具有良好的性能,可以替代金属用于汽车和机械制造行业,适用于泵壳、叶轮、恒温器壳、燃料泵,制动活塞、换向器、燃气管道,管道和带轮,齿轮,皮带轮,阀盖,整流器,导向轮等等。具体应用见图:

【参考文献】
[1] 许力以,周谊 主编.百科知识数据辞典.青岛:青岛出版社.2008.
[2] 王翔朴,王营通,李珏声 主编.卫生学大辞典.青岛:青岛出版社.2000.
[3] 范准. 酚醛树脂合成新工艺及应用[D]. 长春工业大学, 2017.
[4] 吴永仁 主编.中国中学教学百科全书·化学卷.沈阳:沈阳出版社.1990.